从风中捕捉线索:日食如何改变边界层?

日食提供了一个独特的机会来观察大气湍流对太阳辐射阶跃变化的反应。为了评估日食对大气表层所带来的变化,肯塔基大学在2017年8月21日于肯塔基州拉塞尔维尔的机场进行了一次飞行实验。

该实验部署了包括两架固定翼无人机(UAV)和一架四旋翼无人机,并辅以地面传感器。四旋翼无人机上的仪器包括一个 TriSonica®微型三维超声风速和气象传感器。

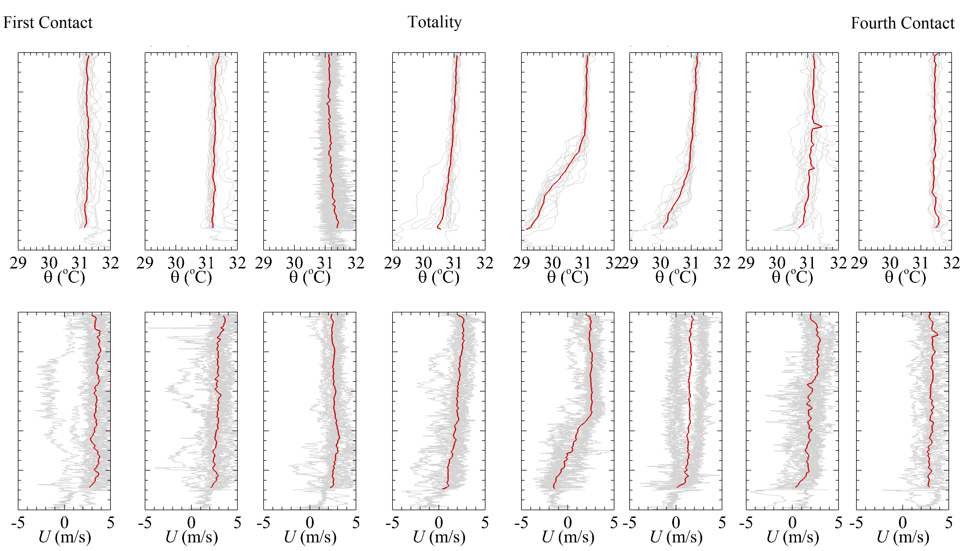
该系统通过在10米至100米之间重复垂直飞行来捕捉边界层变化。这项研究结果揭示了在日全食后不久夜间层的形成,其特征是垂直风切变。图2展示了从日食开始到结束的温度和风速廓线图。

A drone (UAV) flies in the open air. A mast rises from the middle of the drone, supporting a TriSonica Mini Wind and Weather Sensor.
图 1.安装在四旋翼无人机顶部的 TriSonica® 微型三维超声风速和气象传感器。风速仪安装在桅杆上以确保其不受旋翼的影响。

Two sets of eight graphs. The first set shows elevation on the vertical axis and temperature on the horizontal axis, indicating that the temperature profile changed as the eclipse started, approached totality, and ended.
图 2. 通过从日食开始到结束重复的垂直飞行路径来绘制边界层廓线。第一行显示垂直剖面上温度的变化。第二行显示垂直剖面上水平风速的变化。